Next: De effectieve operator in
Up: Aantekeningen bij het college
Previous: Eén-elektron operatoren
Elektronen dichtheid
Voor een systeem met een elektron in een genormeerde orbitaal
(alleen het baandeel) wordt de elektronendichtheid gegeven door
 |
(9) |
De ladingsdichtheid is dan het product van de lading van een elektron (-e =
-1 in atomic units) en de elektronendichtheid.
Voor twee elektronen heeft
ook een betekenis:
het is de kans dat elektron 1 op positie
r1 gevonden wordt, en tegelijk
elektron 2 op
r2. De kans om elektron 1 te vinden op
r,
onafhankelijk van de positie van elektron 2, wordt dan gevonden door te
integreren over alle mogelijke posities van elektron 2:
 |
(10) |
Analoog vinden we voor de elektron dichtheid van elektron 2, onafhankelijk van
de positie van elektron 1:
 |
(11) |
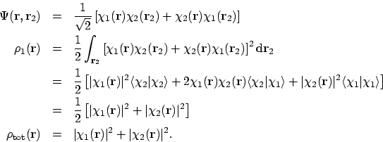
Als we gebruiken dat
moet voldoen aan het Pauli postulaat, en dus
symmetrisch of anti-symmetrisch moet zijn onder verwisseling van elektron 1 en
2 (
kan ook symmetrisch zijn, aangezien we alleen naar het baandeel van de totale functie kijken), kunnen we laten zien dat
:
De totale elektronen dichtheid is de som van de dichtheden per elektron:
 |
(13) |
Voorbeelden:
- 2 elektronen, in dezelfde genormeerde MO
,
singlet spinfunctie:
- 2 elektronen in twee verschillende (genormeerde, orthogonale) MO's, ook
weer met een singlet spinfunctie:
Elektronen dichtheid is een meetbare grootheid, dus volgens onze lessen in de
quantummechanica hoort daar een Hermitische operator bij, maar welke?
Bekijk de één-elektron operator
,
gedefinieerd door
 = \delta (\mathbf{r}_1 - \mathbf{r}) \phi(\mathbf{r}_1),
\end{displaymath}](img51.gif) |
(14) |
waarbij
r1 de positie vector van het elektron is, en
r de plek waarvoor je de elektronendichtheid wil uitrekenen. Voordeel van het gebruik van deze operator is dat we meteen het spindeel van de golffunctie mee kunnen nemen. Stel dat we de verwachtingswaarde van de dichtheidsoperator voor een elektron in een spinorbitaal
uitwillen rekenen. Als we aannemen dat de baanfunctie
genormeerd is wordt dit simpelweg:
De totale dichtheidsoperator is een som van één-elektron dichtheidsoperatoren:
een vorm die ons misschien nog bekend voorkomt van hoofdstuk 3. Gebruikmakend van het resultaat dat we daar geboekt hebben, kunnen we hier onmiddellijk de verwachtingswaarde van de totale elektronendichtheid in een Slaterdeterminant
met orthonormale spinorbitalen (
)
opschrijven, namelijk:
 |
(17) |
Next: De effectieve operator in
Up: Aantekeningen bij het college
Previous: Eén-elektron operatoren
Gerrit Groenenboom
2005-06-01