Spherical harmonics/Catalogs
From Knowino
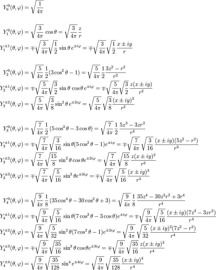
[edit] First few spherical harmonics
The following functions are normalized to unity and have the Condon & Shortley phase. The functions are listed first in θ and φ and then in x, y, z, and r. These parameters are connected by

