File:Heitler London.png
From Knowino
Full resolution (2,334 × 1,892 pixels, file size: 127 KB, MIME type: image/png)
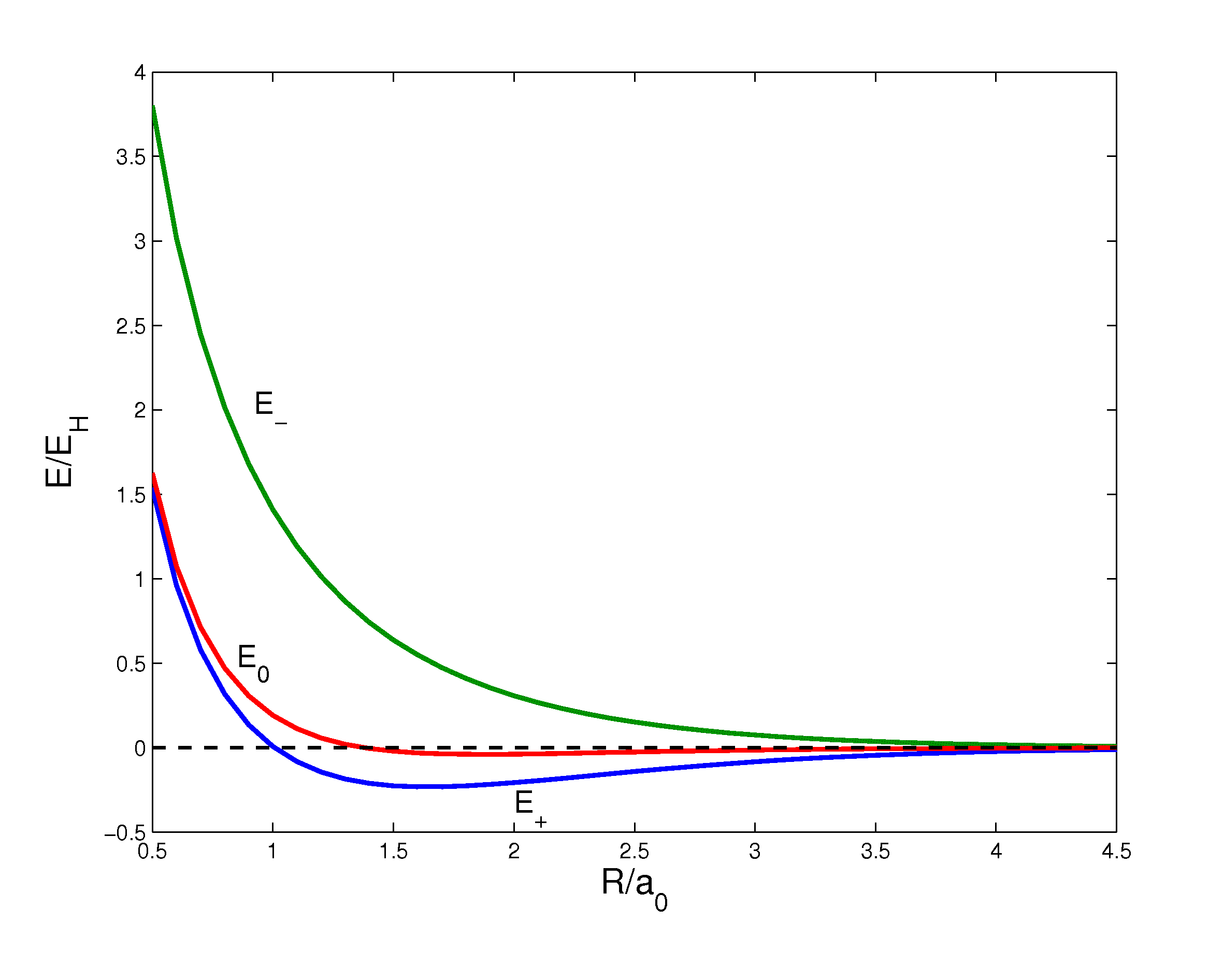
Heitler-London curves for H2
File history
Click on a date/time to view the file as it appeared at that time.
| Date/Time | Thumbnail | Dimensions | User | Comment | |
|---|---|---|---|---|---|
| current | 12:48, 16 May 2011 | 2,334×1,892 (127 KB) | Paul Wormer (talk | contributions) | (Heitler-London curves for H<sub>2</sub>) |
- Edit this file using an external application (See the setup instructions for more information)
File links
The following page links to this file:
