Associated Legendre function/Catalogs

From Knowino
Jump to: navigation, search

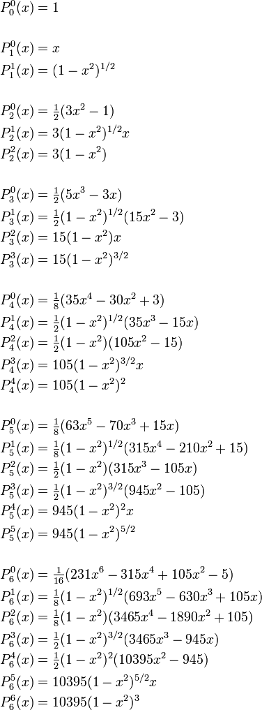
The associated Legendre functions through l = 6 are:


\begin{align}
P_0^0(x) &= 1 \\
\\
P_1^0(x) &= x \\
P_1^1(x) & = (1-x^2)^{1/2} \\
\\
P_2^0(x) &= \tfrac{1}{2}(3x^2-1)\\
P_2^1(x) &=  3(1-x^2)^{1/2} x\\
P_2^2(x) &=  3(1-x^2) \\
\\
P_3^0(x) &= \tfrac{1}{2}(5x^3 -3x)\\  
P_3^1(x) &= \tfrac{1}{2}(1-x^2)^{1/2} (15x^2-3) \\
P_3^2(x) &=  15(1-x^2)x  \\
P_3^3(x) &=  15 (1-x^2)^{3/2}  \\
\\        
P_4^0(x) &= \tfrac{1}{8}(35x^4- 30x^2 + 3)\\
P_4^1(x) &= \tfrac{1}{2}(1-x^2)^{1/2} (35x^3 - 15x) \\
P_4^2(x) &= \tfrac{1}{2}(1-x^2)(105x^2 -15)  \\
P_4^3(x) &=  105 (1-x^2)^{3/2} x  \\
P_4^4(x) &=  105 (1-x^2)^{2}   \\
\\
P_5^0(x) &= \tfrac{1}{8}(63x^5- 70x^3 + 15x)\\ 
P_5^1(x) &= \tfrac{1}{8}(1-x^2)^{1/2} (315x^4 - 210x^2 + 15)    \\
P_5^2(x) &= \tfrac{1}{2}(1-x^2)(315x^3 -105x)  \\
P_5^3(x) &= \tfrac{1}{2} (1-x^2)^{3/2} (945x^2 -105)  \\
P_5^4(x) &= 945 (1-x^2)^{2} x  \\
P_5^5(x) &= 945 (1-x^2)^{5/2}   \\
\\
P_6^0(x) &= \tfrac{1}{16}(231x^6- 315x^4 + 105x^2 -5)\\
P_6^1(x) &= \tfrac{1}{8}(1-x^2)^{1/2} (693x^5 - 630x^3 + 105x)    \\
P_6^2(x) &= \tfrac{1}{8}(1-x^2)(3465 x^4 - 1890 x^2 +105)  \\
P_6^3(x) &= \tfrac{1}{2} (1-x^2)^{3/2} (3465x^3-945x)  \\
P_6^4(x) &= \tfrac{1}{2} (1-x^2)^{2} (10395x^2-945)  \\
P_6^5(x) &= 10395 (1-x^2)^{5/2} x  \\  
P_6^6(x) &= 10395 (1-x^2)^{3}  \\  
\end{align}
Personal tools
Variants
Actions
Navigation
Community
Toolbox